適応エンファシス・フィルタ
- もしかしたら、何かの役にたつかもしれない適応エンファシス・フィルタです.
- 適応フィルタを用いたシステムの開発をしていて、ふと思いつきました. どこにでもありそうな処理ですが今まで他の文献で見た記憶がありません.
- 適応フィルタ係数更新の漸化式は単純で、その導出もプログラミングも簡単です. 大学・高専の離散時間信号処理(デジタル信号処理)の授業の演習・実習課題に使えるかもしれません. 格子型適応フィルタ(逆フィルタ)の前説として紹介するのも良いでしょう.
- 詳細は下記PDF資料をご覧ください.
- 概要は以下のとうりです.
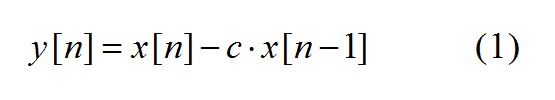
- 線形予測分析合成等の音声処理の前処理として、一次差分のエンファシスが用いられることがあります. 通常、係数は 0.6<c<=1.0
程度の範囲内で用います.

- (1)式の差分係数 c を時変にして、適応フィルタとして用いることが可能です. フィルタ係数 cn 更新の漸化式は下記のようになります.
フィルタ出力 y[n] そのものを誤差信号 e[n] として、e[n]=y[n] を白色化するように動作します.

- (4)式のように簡略化してもNLMSとほぼ等価な結果が得られます. sign()は引数の符号を返す関数です.

- Scilab Ver.6 用シミュレーション・プログラム(入力信号には下記の male_weather_mod.wav を用いてください)
- シミュレーション結果